lunes, 24 de enero de 2022

Reducción de una carga simple distribuida - Problema 10

4-151. En la actualidad, 85 por ciento de todas las lesiones de cuello son causadas por colisiones en la parte trasera de un automóvil. Para mitigar este problema se ha desarrollado un respaldo para los asientos de automóvil, el cual proporciona una presión adicional de contacto con el cráneo. Durante las pruebas dinámicas se ha graficado y demostrado que la distribución de carga sobre el cráneo es parabólica. Determine la fuerza resultante equivalente y su ubicación medida desde el punto A. 
ubicación medida desde el punto A.

Respuestas



sábado, 22 de enero de 2022

Reducción de una carga simple distribuida - Problema 9

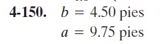
4-150. La viga está sometida a la carga distribuida que se muestra. Determine la longitud b de la carga uniforme y su posición a sobre la viga, de manera que la fuerza y el momento de par resultantes que actúan sobre la viga sean iguales a cero. 
problema 150

RESPUESTA



martes, 18 de enero de 2022

Reducción de una carga simple distribuida - Problema 8

 •4-149. La presión del viento que actúa sobre un señalamiento triangular es uniforme. Reemplace esta carga por una fuerza resultante y un momento de par equivalentes en el punto O.

La presión del viento que actúa sobre un señalamiento

Respuesta

Respuesta 149



lunes, 10 de enero de 2022

Reducción de una carga simple distribuida - Problema 7

 4-148. Los ladrillos sobre la parte superior de la viga y los soportes en la parte inferior producen la carga distribuida que se muestra en la segunda figura. Determine la intensidad requerida w y la dimensión d del soporte derecho para que la fuerza y el momento de par resultantes con respecto al punto A del sistema sean ambos iguales a cero.


viernes, 7 de enero de 2022

Reducción de una carga simple distribuida - Problema 6

4-147. Determine las intensidades w1 y w2 de la carga distribuida que actúa sobre la parte inferior de la losa, de modo que esta carga tenga una fuerza resultante equivalente que sea igual pero opuesta a la resultante de la carga distribuida que actúa en la parte superior de la losa. 
problema losa

Respuesta

Respuesta 147


miércoles, 5 de enero de 2022

Reducción de una carga simple distribuida - Problema 5

 4-146. En la figura se muestra la distribución de carga del suelo sobre la base de una losa de un edificio. Reemplace esta carga por una fuerza resultante equivalente y especifique su ubicación, medida desde el punto O.

Problema 146

Respuesta



sábado, 1 de enero de 2022

Reducción de una carga simple distribuida - Problema 4

 •4-145. Reemplace la carga distribuida por una fuerza resultante equivalente y especifique su ubicación sobre la viga, medida desde el punto A. 

Respuesta

Problema 145